如何做到“吃瘦不冲突”?
多项研究显示:间歇性能量限制/禁食不仅能够有效减肥,会显著改变肠道菌群和大脑活动。
俗话说“每逢佳节胖三斤”,元旦刚过,春节也即将到来,想必很多人都将开启“随食随地”
的模式。可节假日的大快朵颐后,实实在在增长的肉又在提醒着你“该适当启动减肥大计”啦。
减肥嘛,无外乎“管住嘴,迈开腿”。但是口头上说着容易,实际行动起来却难上加难。尤
其是对于朝九晚五的上班族而言,坚持运动实在困难,还不如合理控制饮食来的实际可靠。
提到“管住嘴减肥”,铺天盖地而来的便是各种各样的控制饮食摄入方法,其中比较热门的
便是间歇性能量限制,也就是相对禁食和正常饮食交替进行。
近日,郑州大学人民医院、中国人民解放军总医院等多家医院的研究人员联合在Frontiers in
Cellular and Infection Microbiology杂志发表了相关研究成果[1],表明间歇性能量限制(IER)
能够帮助肥胖者有效减肥,并有助于减少与肥胖相关的并发症,而这种体重减轻会显著改变肠
道菌群和大脑活动。
DOI: 10.3389/fcimb.2023.1269548
在这项研究中,共有35名受试者完成了IER,25名受试者成功减轻了体重。研究团队使用粪便
样本宏基因组学、血液检测和功能磁共振成像(fMRI),研究了25名间歇性能量限制 (IER)饮食
的肥胖的中国女性和男性的肠道微生物组组成、生理参数和血清组成以及大脑活动的变化。
IER可减少肥胖并改善与肥胖相关并发症
在研究结束时,这些参与者的体重平均下降了7.6kg,即下降了7.8%的体重。此外,体脂和腰围
也都减少了。血压、血清空腹血糖、总胆固醇、高密度脂蛋白、低密度脂蛋白、丙氨酸氨基转移
酶、天冬氨酸氨基转移酶、碱性磷酸酶水平显著降低。这些数据表明,IER不仅可以减少肥胖,
还可以减少与肥胖相关的并发症,例如高血压、高脂血症和肝功能障碍。
DOI: 10.3389/fcimb.2023.1269548
IER干预影响大脑功能及肠道菌群改变
作者探索了IER对大脑于肠道菌群的影响,磁共振成像发现IER减少了与食欲和成瘾调节相
关的大脑区域的活动,从而有助于减肥。宏基因组测序和生物信息学分析发现IER增加了肠
道菌群丰富度和多样性;深入分析发现在肠道菌群中,大肠杆菌是基线时肥胖个体肠道菌群
中含量最高的物种,而经过IER后,肥胖相关粪杆菌(Faecalibacterium prausnitzii)、副拟
杆菌(Parabacteroides distasonis)和均匀拟杆菌(Bacterokles uniformis)显著增加,大肠
杆菌的丰富度则下降。
这些结果表明:IER干预后会影响大脑功能以及肠道菌群.
DOI: 10.3389/fcimb.2023.1269548
DOI: 10.3389/fcimb.2023.1269548
进一步的分析表明,大肠杆菌、Coprococcus comes和Eubacterium hallii的丰度与大脑左眶
额下回的活动呈负相关,该区域在执行功能中起着关键作用,包括我们的减肥意愿。相比之下,
Parabacteroides distasonis和Flavonifractor plautii的丰度与与注意力、运动抑制、情感和学
习相关的大脑活动区域呈正相关。这一结果表明:IER期间及IER后,大脑和肠道微生物组的变
化是相互关联的。
DOI: 10.3389/fcimb.2023.1269548
综上所述,间歇性能量限制(IER)能够帮助肥胖者有效减肥并减少与肥胖相关的并发症,而
这种 体重减轻会显著改变肠道菌群和大脑活动.
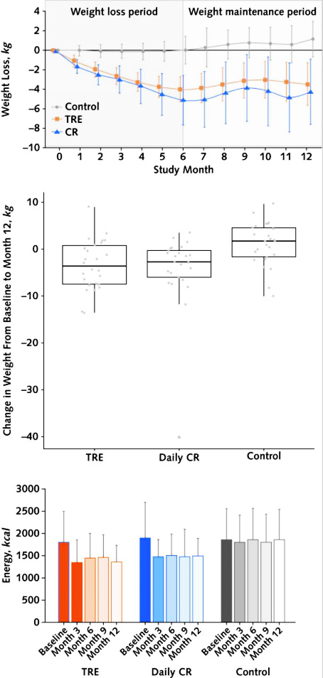
无独有偶,近日,伊利诺伊大学的研究团队在Annals of Internal Medicine杂志发表了相关研
究成果,表明能量限制与8小时限时进食均能有效减肥,连续1年坚持这两种减肥法,能量限制
组参与者 的体重平均减少了5.42kg,而8小时限时进食则使其减少了4.61kg。
DOI:10.7326/M23-0052
具体来说,相比于正常进食组,能量限制组的体重平均减少了5.42kg,而8小时限时进食组则
使 其减少了4.61kg。而从身体组成成分的改变上来看,两组减脂效果也是相当的,两组参与
者脂肪 质量、腰围和BMI均下降。
此外,进一步发现相比于正常进食组,8小时限时进食组每日能量摄入平均减少了425kcal,甚
至超过了能量限制组每日减少的405kcal。表明限时进食其本质也是限制能量摄入!
综上所述,表明限制能量摄入或限时进食均可以有效减肥。
DOI:10.7326/M23-0052
此外,前两年发表的一篇综述系统性总结分析了各种间歇性禁食方法的效果及注意事项。表
明间歇性禁食可以在临床上显著减轻体重,并改善肥胖者的代谢健康。
DOI:10.1146/annurev-nutr-052020-041327
该综述汇总分析了超过25项涉及三种间歇性禁食的研究,最终得出结论:所有形式的禁食都
会产生轻度至中度的体重减轻,比基线体重减轻1%至8%,这与传统的限制饮食的结果相似。
此外,间歇性禁食也可以通过降低血压和胰岛素抵抗来促进健康,还能改善食欲、给肠道菌
群带来积极变化。在某些情况下,还能够降低胆固醇和甘油三酯水平。
DOI:10.1146/annurev-nutr-052020-041327
小结
如今,肥胖已然成为一种全球流行病,各国肥胖发病率在持续飙升。据世界卫生组织(WHO)
估计,全世界有超过10亿人患有肥胖症。更重要的是,肥胖会带来一系列代谢综合症及各种
并发症,如糖尿病、高血压、脂肪肝等。
对于肥胖人群,既然没有时间“迈开腿”,那考虑考虑限制热量摄入或限时进食,不仅能够
有效减肥,还能够改善身体代谢,有助于身体健康!
参考文献:
[1] Zhou J, Wu X, Xiang T, et al. (2023) Dynamical alterations of brain function and gut
microbiome in weight loss. Front. Cell. Infect. Microbiol. 13:1269548. doi: 10.3389/fcimb.
2023.1269548
[2] Lin, Shuhao et al. “Time-Restricted Eating Without Calorie Counting for Weight Loss
in a Racially Diverse Population : A Randomized Controlled Trial.” Annals of internal
medicine vol. 176,7 (2023): 885-895. doi:10.7326/M23-0052
[3] Varady, Krista A et al. “Cardiometabolic Benefits of Intermittent Fasting.” Annual review
of nutrition vol. 41 (2021): 333-361. doi:10.1146/annurev-nutr-052020-041327
图片源自网络,若有侵权联系必删!
正文来源:https://mp.weixin.qq.com/s/G3xGztVfgWygmIP7Bn4-Yg
- 上一篇:控制糖尿病的新靶标
- 下一篇:这种水果被称为“天生复脉汤”





